题目内容
已知x>0,y>0,lg2x+lg8y=lg2,则A.2
B.2
C.4
D.2
【答案】分析:利用对数的运算法则和基本不等式的性质即可得出.
解答:解:∵lg2x+lg8y=lg2,∴lg(2x•8y)=lg2,∴2x+3y=2,∴x+3y=1.
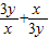
∵x>0,y>0,∴
=
=2+
=4,当且仅当x=3y=
时取等号.
故选C.
点评:熟练掌握对数的运算法则和基本不等式的性质是解题的关键.
解答:解:∵lg2x+lg8y=lg2,∴lg(2x•8y)=lg2,∴2x+3y=2,∴x+3y=1.
∵x>0,y>0,∴
故选C.
点评:熟练掌握对数的运算法则和基本不等式的性质是解题的关键.
练习册系列答案
相关题目
(2007
宁夏,7)已知x>0,y>0,x,a,b,y成等差数列,x,c,d,y成等比数列,则[
]|
A .0 |
B .1 |
C .2 |
D .4 |