搜索
题目内容
已知
,α是第二象限角,且tan(α+β)=3,求tanβ.
试题答案
相关练习册答案
解:∵sinα=
,α为第二象限角,
∴cosα=﹣
=﹣
=﹣
,
∴tanα=
=
=﹣2,
又tan(α+β)=﹣3,
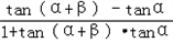
∴tanβ=tan(α+ β﹣α)=
=
=﹣1.
练习册系列答案
学考联通期末大考卷系列答案
新课程同步学案系列答案
行知天下系列答案
试吧大考卷45分钟课时作业与单元测试卷系列答案
王后雄学案教材完全解读系列答案
伴你成长ABC向前冲系列答案
伴你成长开心作业系列答案
海淀课时新作业金榜卷系列答案
交大之星期中期末满分冲刺卷系列答案
交大之星学业水平单元测试卷系列答案
相关题目
1、已知α、β都是第二象限角,且cosα>cosβ,则( )
A、α<β
B、sinα>sinβ
C、tanα>tanβ
D、cotα<cotβ
(1)已知sinα=
,且α是第二象限角,求tanα的值.
(2)已知sinα=
,求tanα的值.
已知
,其中
是第二象限角,则
( )
A.
B.
C.
D.
已知
,且
是第二象限角,则
=
已知
,且
是第二象限角,则
=
.
关 闭
试题分类
高中
数学
英语
物理
化学
生物
地理
初中
数学
英语
物理
化学
生物
地理
小学
数学
英语
其他
阅读理解答案
已回答习题
未回答习题
题目汇总
试卷汇总
练习册解析答案