题目内容
已知,则( )
(A) (B) (C) (D)
若复数,则( )
某个命题与正整数有关,若当时该命题成立,那么可推得当时该命题也成立,现已知当时该命题不成立,那么可推得( )
A.当时,该命题不成立 B.当时,该命题成立
C.当时,该命题成立 D.当时,该命题不成立
命题“存在,使”的否定是
在中,角所对边分别为,若,是钝角三角形,则是的( )条件
(A)充分非必要 (B)必要非充分 (C)充要条件 (D)既不充分也不必要
如图,在四棱柱P-ABCD中,底面ABCD是矩形,E是棱PA的中点,PD⊥BC.
求证:(Ⅰ)PC∥平面BED;
(Ⅱ)△PBC是直角三角形.
设,且,则( )
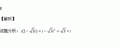
已知则
已知复数z=(2m2﹣3m﹣2)+(m2﹣3m+2)i.
(Ⅰ)当实数m取什么值时,复数z是:
①实数;
②纯虚数;
(Ⅱ)当m=0时,化简.