搜索
题目内容
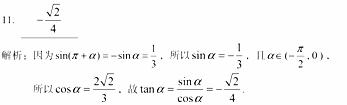
若
,则
=_______
试题答案
相关练习册答案
练习册系列答案
寒假作业中国地图出版社系列答案
中考复习攻略南京师范大学出版社系列答案
智多星归类复习测试卷系列答案
智多星模拟加真题测试卷系列答案
毕业升学考卷大集结系列答案
毕业升学冲刺必备方案系列答案
状元坊广东中考备考用书系列答案
百年学典中考风向标系列答案
百校联盟中考冲刺名校模拟卷系列答案
夺A闯关一路领先中考模拟密卷系列答案
相关题目
3、已知命题“若p则q”为真,则下列命题中一定为真的是( )
A、若?p则?q
B、若?q则?p
C、若q则p
D、若?q则p
(2013•深圳一模)如图,在圆O中,直径AB与弦CD垂直,垂足为E(E在A,O之间),EF⊥BC,垂足为F.若,则AB=6,CF•CB=5,则AE=
1
1
.
暗箱中有三张点数均不同的扑克牌,甲需从中选择一张.当甲从中取出一张牌后,可允许他选择是“要”还是“不要”,若“不要”则可继续取出下一张牌,直到他“要”为止.现在甲采取以下方法:“不要”第一张牌,若第二张牌的点数比第一张牌的点数大,就“要”第二张牌,否则就“要”第三张牌.那么,甲拿到点数
最大的牌的概率是( )
A.
2
3
B.
1
2
C.
1
3
D.
1
4
下列说法不正确的是( )
A、命题“若q则p”与命题“若
?
p则
?
q”互为逆否命题
B、命题“1?{1,2}或4?{1,2}”为真命题
C、命题“若x
2
=1,则x=1”的否命题为:“若x
2
≠1,则x≠1”
D、命题“若x=y,则sinx=siny”的逆否命题为真命题
把命题“四条边相等的四边形是正方形”写成“若p则q”的形式,并写出它的逆命题、否命题、逆否命题,再判断这四个命题的真假.
关 闭
试题分类
高中
数学
英语
物理
化学
生物
地理
初中
数学
英语
物理
化学
生物
地理
小学
数学
英语
其他
阅读理解答案
已回答习题
未回答习题
题目汇总
试卷汇总
练习册解析答案