题目内容
设函数f(x)=
x3+bx2+cx+d(a>0),且方程f′(x)-9x=0的两个根分别为1,4,
(Ⅰ)当a=3且曲线y=f(x)过原点时,求f(x)的解析式;
(Ⅱ)若f(x)在(-∞,+∞)内无极值点,求a的取值范围.
(Ⅰ)当a=3且曲线y=f(x)过原点时,求f(x)的解析式;
(Ⅱ)若f(x)在(-∞,+∞)内无极值点,求a的取值范围.
解:由f(x)=
x3+bx2+cx+d得f′(x)=ax2+2bx+c,
因为f′(x)-9x=ax2+2bx+c-9x=0的两个根分别为1,4,
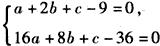
所以,
,(*)
(Ⅰ)当a=3时,由(*)式得
,
解得b=-3,c=12,
又因为曲线y=f(x)过原点,所以d=0,
故f(x)=x3-3x2+12x.
(Ⅱ)由于a>0,所以“f(x)=
x3+bx2+cx+d在(-∞,+∞)内无极值点”等价于“f'(x)=ax2+2bx+c≥0在(-∞,+∞)内恒成立”,
由(*)式得2b=9-5a,c=4a,
又Δ=(2b)2-4ac=9(a-1)(a-9),
解
得
,
即a的取值范围是[1,9].
因为f′(x)-9x=ax2+2bx+c-9x=0的两个根分别为1,4,
所以,
(Ⅰ)当a=3时,由(*)式得
解得b=-3,c=12,
又因为曲线y=f(x)过原点,所以d=0,
故f(x)=x3-3x2+12x.
(Ⅱ)由于a>0,所以“f(x)=
由(*)式得2b=9-5a,c=4a,
又Δ=(2b)2-4ac=9(a-1)(a-9),
解
即a的取值范围是[1,9].
练习册系列答案
相关题目
设函数f(x)=x3-(
)x-2,则其零点所在区间为( )
| 1 |
| 2 |
| A、(0,1) |
| B、(1,2) |
| C、(2,3) |
| D、(3,4) |