题目内容
已知AD是ΔABC的中线,若∠A=120°,
,则
的最小值是______.
【答案】
1
【解析】
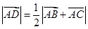
试题分析:设
,由
,则
,∴
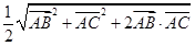
=
![]()
![]()
![]()
.
考点:1、数量积的定义;2、向量的模;3、重要不等式.
练习册系列答案
相关题目
题目内容
已知AD是ΔABC的中线,若∠A=120°,
,则
的最小值是______.
1
【解析】
试题分析:设
,由
,则
,∴
=
![]()
![]()
![]()
.
考点:1、数量积的定义;2、向量的模;3、重要不等式.