题目内容
设椭圆的两个焦点分别为F1、、F2,过F2作椭圆长轴的垂线交椭圆于点P,若△F1PF2为等腰直角三角形,则椭圆的离心率是( )A.
B.
C.
D.
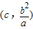
【答案】分析:设点P在x轴上方,坐标为
,根据题意可知|PF2|=
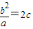
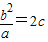
,|PF2|=|F1F2|,进而根据
求得a和c的关系,求得离心率.
解答:解:设点P在x轴上方,坐标为
,
∵△F1PF2为等腰直角三角形
∴|PF2|=|F1F2|,即
,即
故椭圆的离心率e=
故选D
点评:本题主要考查了椭圆的简单性质.椭圆的离心率是高考中选择填空题常考的题目.应熟练掌握圆锥曲线中a,b,c和e的关系.
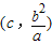
解答:解:设点P在x轴上方,坐标为
∵△F1PF2为等腰直角三角形
∴|PF2|=|F1F2|,即
故椭圆的离心率e=
故选D
点评:本题主要考查了椭圆的简单性质.椭圆的离心率是高考中选择填空题常考的题目.应熟练掌握圆锥曲线中a,b,c和e的关系.
练习册系列答案
相关题目
设椭圆的两个焦点分别为F1、F2,过F2作椭圆长轴的垂线交椭圆于点P,若△F1PF2为等腰直角三角形,则椭圆的离心率是( )
A、
| ||||
B、
| ||||
C、2-
| ||||
D、
|
设椭圆的两个焦点分别为F1,F2,过F2作椭圆长轴的垂线与椭圆相交,其中的一个交点为P,若△F1PF2为等腰直角三角形,则椭圆的离心率是( )
A、
| ||||
B、
| ||||
C、2
| ||||
D、
|