题目内容
已知数列{an}是首项a1=1的正项等比数列,{bn}是首项b1=1的等差数列,又a5+b3=21,a3+b5=13,
(1)求数列{an}和{bn}的通项公式;
(2)求数列
的前n项和为Sn。
(1)求数列{an}和{bn}的通项公式;
(2)求数列
解:(1)设数列{an}的公比为q,{bn}的公差为d,
则
,消去d,得
,
∴
,
∵q>0,
∴q=2,
∴d=2,
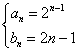
∴
。
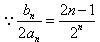
(2)
,
∴
,①
①×2得:
, ②
②-①得:
。
则
∴
∵q>0,
∴q=2,
∴d=2,
∴
(2)
∴
①×2得:
②-①得:
练习册系列答案
相关题目