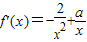
题目内容
已知函数(Ⅰ)若曲线y=f(x)在点P(1,f(1))处的切线与直线y=x+2垂直,求函数y=f(x)的单调区间;
(Ⅱ)若对于?x∈(0,+∞)都有f(x)>2(a-1)成立,试求a的取值范围;
(Ⅲ)记g(x)=f(x)+x-b(b∈R).当a=1时,函数g(x)在区间[e-1,e]上有两个零点,求实数b的取值范围.
【答案】分析:(Ⅰ) 求出函数的定义域,在定义域内,求出导数大于0的区间,即为函数的增区间,
求出导数小于0的区间即为函数的减区间.
(Ⅱ) 根据函数的单调区间求出函数的最小值,要使f(x)>2(a-1)恒成立,需使函数的最小值大于2(a-1),
从而求得a的取值范围.
(Ⅲ)利用导数的符号求出单调区间,再根据函数g(x)在区间[e-1,e]上有两个零点,得到
,
解出实数b的取值范围.
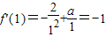
解答:解:(Ⅰ)直线y=x+2的斜率为1,函数f(x)的定义域为(0,+∞),
因为
,所以,
,所以,a=1.
所以,
,
. 由f'(x)>0解得x>2;由f'(x)<0,解得 0<x<2.
所以f(x)的单调增区间是(2,+∞),单调减区间是(0,2).
(Ⅱ)
,由f'(x)>0解得
; 由f'(x)<0解得
.
所以,f(x)在区间
上单调递增,在区间
上单调递减.
所以,当
时,函数f(x)取得最小值,
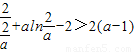
.因为对于?x∈(0,+∞)都有f(x)>2(a-1)成立,
所以,
即可. 则
. 由
解得
.
所以,a的取值范围是
.
(Ⅲ) 依题得
,则
.
由g'(x)>0解得 x>1; 由g'(x)<0解得 0<x<1.
所以函数g(x)在区间(0,1)为减函数,在区间(1,+∞)为增函数.
又因为函数g(x)在区间[e-1,e]上有两个零点,所以
,
解得
. 所以,b的取值范围是
.
点评:本题考查导数与曲线上某点的切线斜率的关系,利用导数求函数的单调区间以及函数的最值.
求出导数小于0的区间即为函数的减区间.
(Ⅱ) 根据函数的单调区间求出函数的最小值,要使f(x)>2(a-1)恒成立,需使函数的最小值大于2(a-1),
从而求得a的取值范围.
(Ⅲ)利用导数的符号求出单调区间,再根据函数g(x)在区间[e-1,e]上有两个零点,得到
解出实数b的取值范围.
解答:解:(Ⅰ)直线y=x+2的斜率为1,函数f(x)的定义域为(0,+∞),
因为
所以,
所以f(x)的单调增区间是(2,+∞),单调减区间是(0,2).
(Ⅱ)
所以,f(x)在区间
所以,当
所以,
所以,a的取值范围是
(Ⅲ) 依题得
由g'(x)>0解得 x>1; 由g'(x)<0解得 0<x<1.
所以函数g(x)在区间(0,1)为减函数,在区间(1,+∞)为增函数.
又因为函数g(x)在区间[e-1,e]上有两个零点,所以
解得
点评:本题考查导数与曲线上某点的切线斜率的关系,利用导数求函数的单调区间以及函数的最值.
练习册系列答案
相关题目