题目内容

已知函数

(1)求函数的最大值,并指出取到最大值时对应的的值;

(2)若,且,计算的值.

 

【答案】

(1)当;(2).

【解析】

试题分析:(1)本小题首先需要对函数解析式进行化简变形得,然后根据求得,结合正弦曲线可得当时,,此时

(2)本小题首先根据代入可得,利用可判断,于是求得,然后展开代入求值即可.

试题解析:(1)      2分

得,   4分

所以当时,,此时   6分

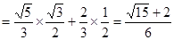
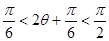
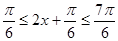
(2)由(1)得,,即     8分

其中      10分

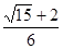
所以     11分

      13分

      14分

考点:1.三角恒等变换;2.正弦曲线的图像与性质.

 

练习册系列答案
相关题目

违法和不良信息举报电话:027-86699610 举报邮箱:58377363@163.com

精英家教网