题目内容
数列{an}的通项公式是an=
【答案】分析:观察数列的通项公式可知适合利用裂项求和求Sn,然后代入可求n的值
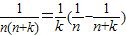
解答:解:∵
∴Sn=a1+a2+…+an
=
=
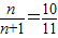
∴
∴n=10
故答案为:10
点评:本题目主要考查了裂项求数列的和的方法,注意
中的
是解题中容易出现错误的地方.
解答:解:∵
∴Sn=a1+a2+…+an
=
=
∴
∴n=10
故答案为:10
点评:本题目主要考查了裂项求数列的和的方法,注意
练习册系列答案
相关题目