题目内容
已知函数(1)求f(x)的反函数f-1(x);
(2)若f(x)=f-1(x),求a的值.
【答案】分析:(1)根据求反函数的步骤,先用y表示出x,再交换两者的位置即可得到f(x)的反函数f-1(x);
(2)若f(x)=f-1(x),由于两个函数是同一个函数,故可由同一性得到参数a的方程,解出a
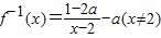
解答:解:(1)
则y≠2∴
,
∴反函数
.
(2)由f(x)=f-1(x),有
即(a+2)(x-2)(x+a)=(a+2)(1-2a)
使上式对x≠2且x≠a都成立,则a=-2
点评:本题考查求反函数,解题的关键是理解反函数的定义,根据定义求出反函数,解答二中利用函数相同,根据同一性求出参数的方程求参,这是同一性的一种重要运用,题后要总结一下.
(2)若f(x)=f-1(x),由于两个函数是同一个函数,故可由同一性得到参数a的方程,解出a
解答:解:(1)
∴反函数
(2)由f(x)=f-1(x),有
即(a+2)(x-2)(x+a)=(a+2)(1-2a)
使上式对x≠2且x≠a都成立,则a=-2
点评:本题考查求反函数,解题的关键是理解反函数的定义,根据定义求出反函数,解答二中利用函数相同,根据同一性求出参数的方程求参,这是同一性的一种重要运用,题后要总结一下.
练习册系列答案
相关题目