题目内容
已知函数f(x)=ax2+bx(a≠0)的导函数f'(x)=-2x+7,数列{an}的前n项和为Sn,点Pn(n,Sn)(n∈N*)均在函数y=f(x)的图象上.(I)求数列{an}的通项公式及Sn的最大值;
(II)令
【答案】分析:(I)求出f(x)的导函数即可得到a与b的值,然后把Pn(n,Sn)代入到f(x)中得到Sn=-n2+7n,利用an=Sn-Sn-1得到通项公式,令an=-2n+8≥0得到n的范围即可求出Sn的最大值;
(II)由题知,数列{bn}是首项为8,公比是
的等比数列,表示出{nbn}的各项,利用错位相减法求出{nbn}的前n项和即可.
解答:解:(I)∵f(x)=ax2+bx(a≠0),∴f'(x)=2ax+b
由f'(x)=-2x+7得:a=-1,b=7,所以f(x)=-x2+7x
又因为点Pn(n,Sn)(n∈N*)均在函数y=f(x)的图象上,所以有Sn=-n2+7n
当n=1时,a1=S1=6
当n≥2时,an=Sn-Sn-1=-2n+8,∴an=-2n+8(n∈N*)
令an=-2n+8≥0得n≤4,∴当n=3或n=4时,Sn取得最大值12
综上,an=-2n+8(n∈N*),当n=3或n=4时,Sn取得最大值12
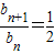
(II)由题意得
所以
,即数列{bn}是首项为8,公比是
的等比数列,
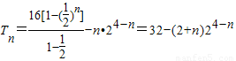
故{nbn}的前n项和Tn=1×23+2×22++n×2-n+4①
②
所以①-②得:
∴
点评:考查学生利用做差法求等差数列通项公式的能力,以及掌握用错项相减的方法求数列前n项的和.考查学生求导数的能力,以及灵活运用等比数列的前n项和公式来解决问题.
(II)由题知,数列{bn}是首项为8,公比是
解答:解:(I)∵f(x)=ax2+bx(a≠0),∴f'(x)=2ax+b
由f'(x)=-2x+7得:a=-1,b=7,所以f(x)=-x2+7x
又因为点Pn(n,Sn)(n∈N*)均在函数y=f(x)的图象上,所以有Sn=-n2+7n
当n=1时,a1=S1=6
当n≥2时,an=Sn-Sn-1=-2n+8,∴an=-2n+8(n∈N*)
令an=-2n+8≥0得n≤4,∴当n=3或n=4时,Sn取得最大值12
综上,an=-2n+8(n∈N*),当n=3或n=4时,Sn取得最大值12
(II)由题意得
所以
故{nbn}的前n项和Tn=1×23+2×22++n×2-n+4①
所以①-②得:
∴
点评:考查学生利用做差法求等差数列通项公式的能力,以及掌握用错项相减的方法求数列前n项的和.考查学生求导数的能力,以及灵活运用等比数列的前n项和公式来解决问题.
练习册系列答案
相关题目