题目内容
在
中,角
,
,
所对应的边分别为
,
,
,且
.
(Ⅰ)求角
的大小;
(Ⅱ)若
,求
的面积.
解:(Ⅰ)因为
,由正弦定理,得
. ……2分
∴
.……4分
∵
, ∴
,
∴
. 又∵
, ∴
. …………6分
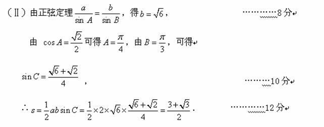
![]()
练习册系列答案
相关题目
题目内容
在
中,角
,
,
所对应的边分别为
,
,
,且
.
(Ⅰ)求角
的大小;
(Ⅱ)若
,求
的面积.
解:(Ⅰ)因为
,由正弦定理,得
. ……2分
∴
.……4分
∵
, ∴
,
∴
. 又∵
, ∴
. …………6分
![]()