题目内容
设0<a<1,集合A={x∈R|x>0},B={x∈R|2x2-3(1+a)x+6a>0},D=A∩B。
(1)求集合D(用区间表示)
(2)求函数f(x)=2x3-3(1+a)x2+6ax在D内的极值点。
(1)求集合D(用区间表示)
(2)求函数f(x)=2x3-3(1+a)x2+6ax在D内的极值点。
解:(1)对于方程
判别式
因为
,
所以
①
时,
,此时
,
所以
;
②
时,
,此时
,
所以
;
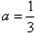
当
时,
,
设方程
的两根为
且
,
则
,

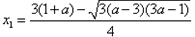
③
时,
,
,
所以
此时,
;
(2)
,
所以函数
在区间
上为减函数,在区间
和
上为增函数
①
是极点
②
是极点
得:
时,
函数
极值点为
,
时,函数
极值点为
与
。
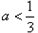
因为
所以
①
所以
②
所以
当
设方程
则
③
所以
此时,
(2)
所以函数
①
②
得:
函数
练习册系列答案
相关题目