题目内容
已知圆C:(x-1)2+(y-1)2=4,则圆C关于直线x+y=1对称的圆的方程 .
【答案】分析:先根据圆C的方程求出圆心和半径,再根据垂直及中点在轴上这两个条件,求出圆心关于直线的对称点的坐标,即可求得关于直线对称的圆的方程.
解答:解:由于圆C:(x-1)2+(y-1)2=4的圆心C(1,1),半径为2,设圆心C关于直线x+y=1对称点为D(a,b),
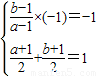
则由
可得
,故点D(0,0),
故对称圆的方程为 x2+y2=4,
故答案为 x2+y2=4.
点评:本题主要考查直线和圆的位置关系,求一个圆关于直线的对称圆的方程的方法,关键是求出圆心关于直线的对称点的坐标,属于中档题.
解答:解:由于圆C:(x-1)2+(y-1)2=4的圆心C(1,1),半径为2,设圆心C关于直线x+y=1对称点为D(a,b),
则由
故对称圆的方程为 x2+y2=4,
故答案为 x2+y2=4.
点评:本题主要考查直线和圆的位置关系,求一个圆关于直线的对称圆的方程的方法,关键是求出圆心关于直线的对称点的坐标,属于中档题.
练习册系列答案
相关题目