题目内容

(本小题满分12分)某单位建造一间地面面积为12的背面靠墙的矩形小房,由于地理位置的限制,房子侧面的长度不得超过米,房屋正面的造价为400元,房屋侧面的造价为150元,屋顶和底面的造价费用合计为5800元,如果墙高为3米.且不计房屋背面的费用.

(1)把房屋总造价表示成的函数,并写出该函数的定义域;

(2)当侧面的长度为多少时,总造价最低?最低总造价是多少?

 

【答案】

 

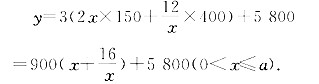
(1)

(2)

 

【解析】略

 

练习册系列答案
相关题目

违法和不良信息举报电话:027-86699610 举报邮箱:58377363@163.com

精英家教网