题目内容
在△ABC中,已知AC=2,BC=3,(Ⅰ)求sinB的值;
(Ⅱ)求
【答案】分析:(1)利用cosA,求得sinA,进而根据正弦定理求得sinB.
(2)根据cosA小于0判断A为钝角,从而角B为锐角,进而根据sinB求得cosB和cos2B,进而利用倍角公式求得sin2B,最后根据两角和公式求得答案.
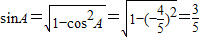
解答:(Ⅰ)解:在△ABC中,
,由正弦定理,
.
所以
.
(Ⅱ)解:∵
,所以角A为钝角,从而角B为锐角,
∴
,
,
.
=
=
.
点评:本小题考查同角三角函数的基本关系式、两角和公式、倍角公式、正弦定理等的知识,考查基本运算能力
(2)根据cosA小于0判断A为钝角,从而角B为锐角,进而根据sinB求得cosB和cos2B,进而利用倍角公式求得sin2B,最后根据两角和公式求得答案.
解答:(Ⅰ)解:在△ABC中,
所以
(Ⅱ)解:∵
∴
点评:本小题考查同角三角函数的基本关系式、两角和公式、倍角公式、正弦定理等的知识,考查基本运算能力
练习册系列答案
相关题目