题目内容
已知函数f(x)=lnx-(I)若a>0,试判断f(x)在定义域内的单调性;
(II)若f(x)在[1,e]上的最小值为
(III)若f(x)<x2在(1,+∞)上恒成立,求a的取值范围.
【答案】分析:(I)先确定函数f(x)的定义域,再求导函数,从而可判定f(x)在定义域内的单调性;
(II)由(I)可知,f′(x)=
.再分类讨论:a≥-1,f(x)在[1,e]上为增函数;a≤-e,f(x)在[1,e]上为减函数;e<a<-1,f(x)在(1,-a)上为减函数,f(x)在(-a,e)上为增函数,利用f(x)在[1,e]上的最小值为
,可求a的值;
(III)先将不等式整理,再分离参数,构建新函数,利用单调性求出函数值的范围,即可求出a的取值范围.
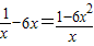
解答:解:(I)由题意f(x)的定义域为(0,+∞),且f'(x)=
…(2分)
∵a>0,
∴f'(x)>0,
故f(x)在(0,+∞)上是单调递增函数 …(4分)
(II)由(I)可知,f′(x)=
.
(1)若a≥-1,则x+a≥0,即f′(x)≥0在[1,e]上恒成立,此时f(x)在[1,e]上为增函数,
∴[f(x)]min=f(1)=-a=
,
∴a=-
(舍去) …(5分)
(2)若a≤-e,则x+a≤0,即f′(x)≤0在[1,e]上恒成立,此时f(x)在[1,e]上为减函数,
∴[f(x)]min=f(e)=1-
(舍去)…(6分)
(3)若-e<a<-1,令f'(x)=0得x=-a,当1<x<-a时,f'(x)<0,
∴f(x)在(1,-a)上为减函数,f(x)在(-a,e)上为增函数,
∴[f(x)]min=f(-a)=ln(-a)+1=
∴[f(x)]min=f(-a)=ln(-a)+1=
∴a=-
.…(8分)
综上所述,a=-
.
(III)∵f(x)<x2
∴lnx-
又x>0,∴a>xlnx-x3…(9分)
令g(x)=xlnx-x3,h(x)=g′(x)=1+lnx-3x2,
∴h'(x)=
∵x∈(1,+∞)时,h'(x)<0,
∴h(x)在(1,+∞)上是减函数,…(10分)
∴h(x)<h(1)=-2<0
即g'(x)<0∴g(x)在(1,+∞)上也是减函数,
∴g(x)在(1,+∞)上是减函数
∴g(x)<g(1)=-1
∴当a≥-1时,f(x)<x2在(1,+∞)上恒成立.…(12分)
∴a≥-1
点评:本题重点考查函数的单调性,考查函数的最值,考查恒成立问题,解题的关键是运用导数,确定函数的单调性,运用分离参数法求解恒成立问题.
(II)由(I)可知,f′(x)=
(III)先将不等式整理,再分离参数,构建新函数,利用单调性求出函数值的范围,即可求出a的取值范围.
解答:解:(I)由题意f(x)的定义域为(0,+∞),且f'(x)=
∵a>0,
∴f'(x)>0,
故f(x)在(0,+∞)上是单调递增函数 …(4分)
(II)由(I)可知,f′(x)=
(1)若a≥-1,则x+a≥0,即f′(x)≥0在[1,e]上恒成立,此时f(x)在[1,e]上为增函数,
∴[f(x)]min=f(1)=-a=
∴a=-
(2)若a≤-e,则x+a≤0,即f′(x)≤0在[1,e]上恒成立,此时f(x)在[1,e]上为减函数,
∴[f(x)]min=f(e)=1-
(3)若-e<a<-1,令f'(x)=0得x=-a,当1<x<-a时,f'(x)<0,
∴f(x)在(1,-a)上为减函数,f(x)在(-a,e)上为增函数,
∴[f(x)]min=f(-a)=ln(-a)+1=
∴[f(x)]min=f(-a)=ln(-a)+1=
∴a=-
综上所述,a=-
(III)∵f(x)<x2
∴lnx-
又x>0,∴a>xlnx-x3…(9分)
令g(x)=xlnx-x3,h(x)=g′(x)=1+lnx-3x2,
∴h'(x)=
∴h(x)在(1,+∞)上是减函数,…(10分)
∴h(x)<h(1)=-2<0
即g'(x)<0∴g(x)在(1,+∞)上也是减函数,
∴g(x)在(1,+∞)上是减函数
∴g(x)<g(1)=-1
∴当a≥-1时,f(x)<x2在(1,+∞)上恒成立.…(12分)
∴a≥-1
点评:本题重点考查函数的单调性,考查函数的最值,考查恒成立问题,解题的关键是运用导数,确定函数的单调性,运用分离参数法求解恒成立问题.
练习册系列答案
相关题目