搜索
题目内容
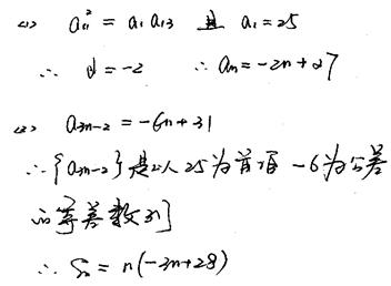
已知等差数列{
a
n
}的公差不为零,
a
1
=25,且
a
1
、
a
11
、
a
13
成等比数列.
(1)求{
a
n
}的通项公式;
(2)求
a
1
+
a
4
+
a
7
+…+
a
3
n
-2
。
试题答案
相关练习册答案
练习册系列答案
智乐文化寒假作业期末综合复习东南大学出版社系列答案
寒假作业轻松快乐每一天系列答案
寒假作业新疆青少年出版社系列答案
寒假作业甘肃少年儿童出版社系列答案
寒假作业正能量系列答案
寒假拔高15天系列答案
衡水假期伴学寒假作业系列答案
欢乐假期寒假作业系列答案
黄冈小状元寒假作业龙门书局系列答案
黄冈状元成才路寒假作业系列答案
相关题目
已知等差数列{a
n
},公差d不为零,a
1
=1,且a
2
,a
5
,a
14
成等比数列;
(1)求数列{a
n
}的通项公式;
(2)设数列{b
n
}满足
b
n
=
a
n
•
3
n-1
,求数列{b
n
}的前n项和S
n
.
已知等差数列{a
n
}中:a
3
+a
5
+a
7
=9,则a
5
=
.
已知等差数列{a
n
}满足:a
5
=11,a
2
+a
6
=18.
(1)求{a
n
}的通项公式;
(2)若b
n
=a
n
+q
a
n
(q>0),求数列{b
n
}的前n项和S
n
.
已知等差数列{a
n
}满足a
2
=0,a
6
+a
8
=-10
(1)求数列{a
n
}的通项公式;
(2)求数列{|a
n
|}的前n项和;
(3)求数列{
a
n
2
n-1
}的前n项和.
已知等差数列{a
n
}中,a
4
a
6
=-4,a
2
+a
8
=0,n∈N
*
.
(Ⅰ)求数列{a
n
}的通项公式;
(Ⅱ)若{a
n
}为递增数列,请根据如图的程序框图,求输出框中S的值(要求写出解答过程).
关 闭
试题分类
高中
数学
英语
物理
化学
生物
地理
初中
数学
英语
物理
化学
生物
地理
小学
数学
英语
其他
阅读理解答案
已回答习题
未回答习题
题目汇总
试卷汇总
练习册解析答案