题目内容
已知数列{an}的前n项和Sn=9-6n2,若bn=2n-1an,求数列{an}的通项公式。
解:当n≥2时,
,①
当n=1时,
不满足①,
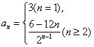
∴
,
又
,
∴
。
当n=1时,
∴
又
∴
练习册系列答案
相关题目
已知数列{an}的前n项和Sn=an2+bn(a、b∈R),且S25=100,则a12+a14等于( )
| A、16 | B、8 | C、4 | D、不确定 |
题目内容
| A、16 | B、8 | C、4 | D、不确定 |