题目内容

(本小题满分14分)

已知定义域为的函数对任意的,且

(1)求的值;

(2)若为单调函数,,向量,是否存在实数,对任意恒成立?若存在,求出的取值范围;若不存在,说明理由.

答案

----------2分

-------------3分

----------5分

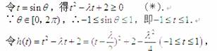
----------7分

---------9分

 

 -----------11分

 ------13分

综上:存在,满足题目要求.         -------------14分

练习册系列答案
相关题目

违法和不良信息举报电话:027-86699610 举报邮箱:58377363@163.com

精英家教网