题目内容
设{an}是递增等差数列,前三项的和为12,前三项的积为48,则它的首项是( )A.1
B.2
C.4
D.6
【答案】分析:由等差数列的性质可得a1+a3=2a2,又已知a1+a2+a3=12,可得a2=4,故条件转化为a1+a3=8,a1×a3=12,解方程即可求出a1.
解答:解:设{an}的前3项为a1,a2,a3,则由等差数列的性质可得a1+a3=2a2,
∴a1+a2+a3=3a2=12,解得a2=4,
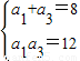
由题意可得
,解得
或
,
∵{an}是递增等差数列,
∴a1=2,a3=6,
故选B.
点评:本题考查了等差数列的通项公式与等差数列的性质,应用了解方程思想,是高考重点考查的内容.
解答:解:设{an}的前3项为a1,a2,a3,则由等差数列的性质可得a1+a3=2a2,
∴a1+a2+a3=3a2=12,解得a2=4,
由题意可得
∵{an}是递增等差数列,
∴a1=2,a3=6,
故选B.
点评:本题考查了等差数列的通项公式与等差数列的性质,应用了解方程思想,是高考重点考查的内容.
练习册系列答案
相关题目