题目内容
已知两定点F1(-1,0),F2(1,0),满足
的动点P的轨迹是曲线C,
(Ⅰ)求曲线C的标准方程;
(Ⅱ)直线l:y=-x+b与曲线C交于A,B两点,求△AOB面积的最大值。
(Ⅰ)求曲线C的标准方程;
(Ⅱ)直线l:y=-x+b与曲线C交于A,B两点,求△AOB面积的最大值。
解:(Ⅰ)由题意知,曲线C是以
为焦点的椭圆,
∴a=2,c=1,
∴
,
故曲线C的方程为:
。
(Ⅱ)设直线l与椭圆
交点
,
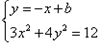
联立方程
,得
,
因为
,解得
,
且
,
∵点O到直线l的距离
,
,
∴
,
当且仅当
,即
时取到最大值,
∴△AOB面积的最大值为
。
∴a=2,c=1,
∴
故曲线C的方程为:
(Ⅱ)设直线l与椭圆
联立方程
因为
且
∵点O到直线l的距离
∴
当且仅当
∴△AOB面积的最大值为
练习册系列答案
相关题目