题目内容
已知f(x)=3ax2+bx是定义在[a-1,2a]上的偶函数.(1)求a,b的值;
(2)讨论g(x)=f(x)+
【答案】分析:(1)利用函数为偶函数,所以定义域关于原点对称,然后利用偶函数的定义,得到a,b的值.
(2)利用导数研究函数的单调性.
解答:解:(1)因为f(x)=3ax2+bx是定义在[a-1,2a]上的偶函数.
所以a-1+2a=0解得a=
,
此时函数f(x)=x2+bx.
因为f(x)=x2+bx是偶函数,所以f(-x)=f(x),
即f(-x)=x2-bx=x2+bx,所以-b=b,解得b=0.
(2)f(x)=x2,函数的定义域为
且x≠0.所以g(x)=f(x)+
=
,
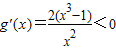
所以
,由
,解得x>1,此时无解.
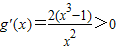
由
,解得x<1,所以此时x
,所以函数在[-
和(0,
上都为减函数.
点评:本题主要考查函数的奇偶性的应用,以及函数单调性的判断.
(2)利用导数研究函数的单调性.
解答:解:(1)因为f(x)=3ax2+bx是定义在[a-1,2a]上的偶函数.
所以a-1+2a=0解得a=
此时函数f(x)=x2+bx.
因为f(x)=x2+bx是偶函数,所以f(-x)=f(x),
即f(-x)=x2-bx=x2+bx,所以-b=b,解得b=0.
(2)f(x)=x2,函数的定义域为
所以
由
点评:本题主要考查函数的奇偶性的应用,以及函数单调性的判断.
练习册系列答案
相关题目