ÌâÄ¿ÄÚÈÝ
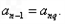
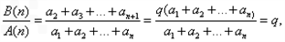
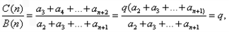
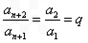
ÒÑÖªÊýÁÐ{an} µÄ¸÷Ïî¾ùΪÕýÊý£¬¼ÇA£¨n£©=a1+a2+ ¡¡+an£¬B£¨n£©=a2+a3+ ¡¡+an+1£¬C£¨n£©=a3+a4+ ¡¡+an+2£¬n=1 £¬2 £¬¡¡ ¡£
£¨1£©Èôa1=1 £¬a2=5 £¬ÇÒ¶ÔÈÎÒân¡ÊN©~£¬Èý¸öÊýA£¨n£©£¬B£¨n£©£¬C£¨n£©×é³ÉµÈ²îÊýÁУ¬ÇóÊýÁÐ{an} µÄͨÏʽ£¬
£¨2£©Ö¤Ã÷£ºÊýÁÐ{an} Êǹ«±ÈΪqµÄµÈ±ÈÊýÁеijä·Ö±ØÒªÌõ¼þÊÇ£º¶ÔÈÎÒâ
£¬Èý¸öÊýA£¨n£©£¬B£¨n£©£¬C£¨n£©×é³É¹«±ÈΪqµÄµÈ±ÈÊýÁС£
£¨1£©Èôa1=1 £¬a2=5 £¬ÇÒ¶ÔÈÎÒân¡ÊN©~£¬Èý¸öÊýA£¨n£©£¬B£¨n£©£¬C£¨n£©×é³ÉµÈ²îÊýÁУ¬ÇóÊýÁÐ{an} µÄͨÏʽ£¬
£¨2£©Ö¤Ã÷£ºÊýÁÐ{an} Êǹ«±ÈΪqµÄµÈ±ÈÊýÁеijä·Ö±ØÒªÌõ¼þÊÇ£º¶ÔÈÎÒâ
½â£º£¨1£©¶ÔÈÎÒâ
£¬Èý¸öÊý
ÊǵȲîÊýÁУ¬
ËùÒÔ
¼´
Ò༴
¹ÊÊýÁÐ
ÊÇÊ×ÏîΪ1£¬¹«²îΪ4µÄµÈ²îÊýÁÐ
ÓÚÊÇ
¡£
£¨2£©¢Ù±ØÒªÐÔ£ºÈôÊýÁÐ
Êǹ«±ÈΪµÄµÈ±ÈÊýÁУ¬Ôò¶ÔÈÎÒâ
£¬
ÓÐ
ÓÉ
Öª£¬
¾ù´óÓÚ0£¬
ÓÚÊÇ

¼´
£½
£½
£¬
ËùÒÔÈý¸öÊý
×é³É¹«±ÈΪ
µÄµÈ±ÈÊýÁС£
¢Ú³ä·ÖÐÔ£ºÈô¶ÔÓÚÈÎÒâ
£¬Èý¸öÊý
×é³É¹«±ÈΪ
µÄµÈ±ÈÊýÁУ¬
Ôò
£¬ÓÚÊÇ
µÃ
¼´
ÓÉ
ÓÐ
¼´
£¬
´Ó¶ø
ÒòΪ
£¬ËùÒÔ
£¬
¹ÊÊýÁÐ
ÊÇÊ×ÏîΪ
£¬¹«±ÈΪ
µÄµÈ±ÈÊýÁУ¬
×ÛÉÏËùÊö£¬ÊýÁÐ
Êǹ«±ÈΪ
µÄµÈ±ÈÊýÁеijä·Ö±ØÒªÌõ¼þÊÇ£º¶ÔÈÎÒân¡ÊN©~£¬Èý¸öÊý
×é³É¹«±ÈΪ
µÄµÈ±ÈÊýÁС£
ËùÒÔ
¼´
¹ÊÊýÁÐ
ÓÚÊÇ
£¨2£©¢Ù±ØÒªÐÔ£ºÈôÊýÁÐ
ÓÐ
ÓÉ
ÓÚÊÇ
¼´
ËùÒÔÈý¸öÊý
¢Ú³ä·ÖÐÔ£ºÈô¶ÔÓÚÈÎÒâ
Ôò
¼´
ÓÉ
´Ó¶ø
ÒòΪ
¹ÊÊýÁÐ
×ÛÉÏËùÊö£¬ÊýÁÐ
Á·Ï°²áϵÁдð°¸
Ïà¹ØÌâÄ¿