题目内容
已知椭圆C1的中心在原点、焦点在x轴上,抛物线C2的顶点在原点、焦点在x轴上.小明从曲线C1,C2上各取若干个点(每条曲线上至少取两个点),并记录其坐标(x,y).由于记录失误,使得其中恰有一个点既不在椭圆C1上,也不在抛物线C2上.小明的记录如下:| x | -2 | 2 | 3 | |||
| y | 2 |
【答案】分析:由题意可知:点
是椭圆C1的短轴的一个端点,或点
是椭圆C1的长轴的一个端点.分此两种情况讨论:再假设抛物线C2的方程为y2=2px或y2=-2px验证即可.
解答:解:由题意可知:点
是椭圆C1的短轴的一个端点,或点
是椭圆C1的长轴的一个端点.以下分两种情况讨论:
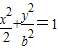
①假设点
是椭圆C1的短轴的一个端点,则C1可以写成
,经验证可得:若点
在C1上,代入求得a2=12,即
,剩下的4个点中(-2,2)也在此椭圆上.
假设抛物线C2的方程为y2=2px,把点
代入求得p=2,∴y2=4x,则点
,则只剩下一个点
既不在椭圆上,也不在抛物线上,满足条件.
假设抛物线C2的方程为y2=-2px,经验证不符合题意.
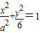
②假设点
是椭圆C1的长轴的一个端点,则C1可以写成
,经验证不满足条件,应舍去.
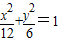
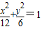
综上可知:可推断椭圆C1的方程为
.
故答案为
.
点评:熟练掌握椭圆、抛物线的标准方程及其性质和分类讨论的思想方法是解题的关键.
解答:解:由题意可知:点
①假设点
假设抛物线C2的方程为y2=2px,把点
假设抛物线C2的方程为y2=-2px,经验证不符合题意.
②假设点
综上可知:可推断椭圆C1的方程为
故答案为
点评:熟练掌握椭圆、抛物线的标准方程及其性质和分类讨论的思想方法是解题的关键.
练习册系列答案
相关题目