题目内容
等差数列{an}的前m项和为30,前2m项和为100,则它的前3m项和为( )A.130
B.170
C.210
D.260
【答案】分析:利用等差数列的前n项和公式,结合已知条件列出关于a1,d的方程组,用m表示出a1、d,进而求出s3m;或利用等差数列的性质,sm,s2m-sm,s3m-s2m成等差数列进行求解.
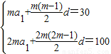
解答:解:解法1:设等差数列{an}的首项为a1,公差为d,
由题意得方程组
,
解得d=
,a1=
,
∴s3m=3ma1+
d=3m
+
=210.
故选C.
解法2:∵设{an}为等差数列,
∴sm,s2m-sm,s3m-s2m成等差数列,
即30,70,s3m-100成等差数列,
∴30+s3m-100=70×2,
解得s3m=210.
故选C.
点评:解法1为基本量法,思路简单,但计算复杂;解法2使用了等差数列的一个重要性质,即等差数列的前n项和为sn,则sn,s2n-sn,s3n-s2n,…成等差数列.
解答:解:解法1:设等差数列{an}的首项为a1,公差为d,
由题意得方程组
解得d=
∴s3m=3ma1+
故选C.
解法2:∵设{an}为等差数列,
∴sm,s2m-sm,s3m-s2m成等差数列,
即30,70,s3m-100成等差数列,
∴30+s3m-100=70×2,
解得s3m=210.
故选C.
点评:解法1为基本量法,思路简单,但计算复杂;解法2使用了等差数列的一个重要性质,即等差数列的前n项和为sn,则sn,s2n-sn,s3n-s2n,…成等差数列.
练习册系列答案
相关题目
设等差数列{an}的前n项和为Sn,则a5+a6>0是S8≥S2的( )
| A、充分而不必要条件 | B、必要而不充分条件 | C、充分必要条件 | D、既不充分也不必要条件 |