题目内容
已知函数f(x)的定义域是x≠0的一切实数,对定义域内的任意x1,x2都有f=f(x1)+f(x2),且当x>1时f(x)>0,f(2)=1.(1)求证:f(x)是偶函数;
(2)f(x)在(0,+∞)上是增函数;
(3)解不等式f(2x2-1)<2.
【答案】分析:(1)根据题意和式子的特点,先令x1=x2=-1求出f(-1)=0,再令x1=-1,x2=x求出f(-x)=f(x),则证出此函数为偶函数;
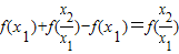
(2)先任取x2>x1>0,再代入所给的式子进行作差变形,利用x2=
和
且
>0,判断符号并得出结论;
(3)根据题意和(1)的结论,把不等式转化为f(|2x2-1|)<f(4),再由(2)的结论知|2x2-1|<4,故解此不等式即可.
解答:解:(1)由题意知,对定义域内的任意x1,x2都有f(x1•x2)=f(x1)+f(x2),
令x1=x2=-1,代入上式解得f(-1)=0,
令x1=-1,x2=x代入上式,∴f(-x)=f(-1•x)=f(-1)+f(x)=f(x),
∴f(x)是偶函数.
(2)设x2>x1>0,则
=
∵x2>x1>0,∴
,∴
>0,
即f(x2)-f(x1)>0,∴f(x2)>f(x1)
∴f(x)在(0,+∞)上是增函数.
(3)∵f(2)=1,∴f(4)=f(2)+f(2)=2,
∵f(x)是偶函数,∴不等式f(2x2-1)<2可化为f(|2x2-1|)<f(4),
又∵函数在(0,+∞)上是增函数,∴|2x2-1|<4,且2x2-1≠0,
即-4<2x2-1<4,且2x2≠1解得:
,且x≠
,
即不等式的解集为{x|
,且x≠
}.
点评:本题的考点是抽象函数的性质及其应用,根据证明函数奇偶性和单调性的方法,反复给x1和x2值利用给出恒等式,注意条件的利用;求解不等式时利用函数的奇偶性及条件转化为两个函数值的关系,进而由函数的单调性转化为自变量的大小,易错点忽略定义域.
(2)先任取x2>x1>0,再代入所给的式子进行作差变形,利用x2=
(3)根据题意和(1)的结论,把不等式转化为f(|2x2-1|)<f(4),再由(2)的结论知|2x2-1|<4,故解此不等式即可.
解答:解:(1)由题意知,对定义域内的任意x1,x2都有f(x1•x2)=f(x1)+f(x2),
令x1=x2=-1,代入上式解得f(-1)=0,
令x1=-1,x2=x代入上式,∴f(-x)=f(-1•x)=f(-1)+f(x)=f(x),
∴f(x)是偶函数.
(2)设x2>x1>0,则
∵x2>x1>0,∴
即f(x2)-f(x1)>0,∴f(x2)>f(x1)
∴f(x)在(0,+∞)上是增函数.
(3)∵f(2)=1,∴f(4)=f(2)+f(2)=2,
∵f(x)是偶函数,∴不等式f(2x2-1)<2可化为f(|2x2-1|)<f(4),
又∵函数在(0,+∞)上是增函数,∴|2x2-1|<4,且2x2-1≠0,
即-4<2x2-1<4,且2x2≠1解得:
即不等式的解集为{x|
点评:本题的考点是抽象函数的性质及其应用,根据证明函数奇偶性和单调性的方法,反复给x1和x2值利用给出恒等式,注意条件的利用;求解不等式时利用函数的奇偶性及条件转化为两个函数值的关系,进而由函数的单调性转化为自变量的大小,易错点忽略定义域.
练习册系列答案
相关题目