题目内容
若等差数列{an}的前5项和S5=25,且a2=3,则a7=( )A.12
B.13
C.14
D.15
【答案】分析:利用等差数列的通项公式和前n项和公式,结合已知条件列出关于a1,d的方程组,解出a1,d,然后代入通项公式求解即可.
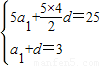
解答:解:设{an}的公差为d,首项为a1,由题意得
,解得
,
∴a7=1+6×2=13,
故选B.
点评:本题考查了等差数列的通项公式、前n项和公式,熟练应用公式是解题的关键.
解答:解:设{an}的公差为d,首项为a1,由题意得
∴a7=1+6×2=13,
故选B.
点评:本题考查了等差数列的通项公式、前n项和公式,熟练应用公式是解题的关键.
练习册系列答案
相关题目