题目内容
四棱锥P-ABCD中,底面ABCD是边长为a正方形,PD=2a,PA=PC=(1)求证:平面PBD⊥平面PAC;
(2)求直线AC与平面PBC所成角的余弦值;
(3)在这个四棱锥中放入一个球,求球的最大半径.
【答案】分析:(1)先由题目给出的棱长判断PD⊥DA,PD⊥DC,由线面垂直的判定知PD⊥底面,从而得出PD⊥DB,再根据底面是正方形,得对角线互相垂直,然后由先面垂直的判定得AC⊥面PBD,由两面垂直的判定可得结论;
(2)建立空间直角坐标系,求出平面PBC的一个法向量,求向量
与平面法向量夹角的余弦值的绝对值,则线面角的正弦值可求,运用同角三角函数基本关系式求线面角的余弦值;
(3)利用等积法求四棱锥内切球的半径.
解答:(1)证明:连接AC,BD,设AC∩BD=O,因为底面ABCD是边长为a正方形,所以,AD=DC=a,在三角形PDA中,因为PD=2a,AD=a,PA=
a,
所以PD2+AD2=PA2,所以PD⊥AD,在三角形PDC中,同理可证PD⊥DC,又因为AD∩DC=D,所以PD⊥面ABCD,
因为AC?面ABCD,所以PD⊥AC,又AC⊥BD,PD∩BD=D,所以AC⊥面PBD,AC?面PAC,所以面PBD⊥面PA;
(2)解:分别以DA、DC、DP所在直线为x、y、z轴建立空间直角坐标系,则A(a,0,0),B(a,a,0),C(0,a,0),P(0,0,2a),
则
,设面PBC的一个法向量为
,
,
由
⇒
,取z=1,则y=2,x=0,所以
,
设直线AC与平面PBC所成角为θ,则sinθ=|cos<
,
>|=
=
=
,
所以直线AC与平面PBC所成角的余弦值cosθ=
;
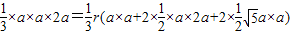
(3)解:在这个四棱锥中放入一个球,球与五个面内切时半径最大,设半径为r,
由四棱锥P-ABCD的体积等于以球心为顶点,四棱锥的五个面为底面的五个棱锥的体积和,
得:
,解得:r=
.
所以在这个四棱锥中放入一个球,球的最大半径为
.
点评:本题考查了平面和平面垂直的判定,考查了直线和平面所成的角,运用空间向量处理空间角的问题降低了题目难度,解答时要正确求出涉及到的平面的一个法向量,特别是运用平面法向量求面面角时要注意法向量的方向,此题是中档题.
(2)建立空间直角坐标系,求出平面PBC的一个法向量,求向量
(3)利用等积法求四棱锥内切球的半径.
解答:(1)证明:连接AC,BD,设AC∩BD=O,因为底面ABCD是边长为a正方形,所以,AD=DC=a,在三角形PDA中,因为PD=2a,AD=a,PA=
所以PD2+AD2=PA2,所以PD⊥AD,在三角形PDC中,同理可证PD⊥DC,又因为AD∩DC=D,所以PD⊥面ABCD,
因为AC?面ABCD,所以PD⊥AC,又AC⊥BD,PD∩BD=D,所以AC⊥面PBD,AC?面PAC,所以面PBD⊥面PA;
(2)解:分别以DA、DC、DP所在直线为x、y、z轴建立空间直角坐标系,则A(a,0,0),B(a,a,0),C(0,a,0),P(0,0,2a),
则
由
设直线AC与平面PBC所成角为θ,则sinθ=|cos<
所以直线AC与平面PBC所成角的余弦值cosθ=
(3)解:在这个四棱锥中放入一个球,球与五个面内切时半径最大,设半径为r,
由四棱锥P-ABCD的体积等于以球心为顶点,四棱锥的五个面为底面的五个棱锥的体积和,
得:
所以在这个四棱锥中放入一个球,球的最大半径为
点评:本题考查了平面和平面垂直的判定,考查了直线和平面所成的角,运用空间向量处理空间角的问题降低了题目难度,解答时要正确求出涉及到的平面的一个法向量,特别是运用平面法向量求面面角时要注意法向量的方向,此题是中档题.
练习册系列答案
相关题目