题目内容
下面是一个算法的伪代码,如果输入的数分别为3和0,则输出的结果分别为 , .
【答案】分析:本题考查条件语句,先根据算法语句写出分段函数,然后根据自变量选择解析式,解之即可.
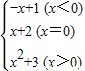
解答:解:根据条件语句可知是计算y=
当x=3时,y=12;
当x=0时,y=0;
故答案为:12;0.
点评:本题考查了分段函数,以及条件语句的考查,一般我们认为我们的学习是从算法步骤(自然语言)至程序框图,再到算法语言(程序).算法和语句是新课标新增的内容,在近两年的新课标地区高考都考查到了,这启示我们要给予高度重视,属于基础题.
解答:解:根据条件语句可知是计算y=
当x=3时,y=12;
当x=0时,y=0;
故答案为:12;0.
点评:本题考查了分段函数,以及条件语句的考查,一般我们认为我们的学习是从算法步骤(自然语言)至程序框图,再到算法语言(程序).算法和语句是新课标新增的内容,在近两年的新课标地区高考都考查到了,这启示我们要给予高度重视,属于基础题.
练习册系列答案
相关题目