题目内容
设x1、x2是函数(1)若x1<2<x2<4,求证:f′(-2)>3;
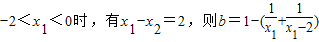
(2)如果|x1|<2,|x2-x1|=2,求b的取值范围.
【答案】分析:(1)由已知得,x1,x2是方程f'(x)=0的两根,再根据x1<2<x2<4,可得
,为关于a,b的不等式组,利用不等式的性质可求证f′(-2)>3;
(2)利用韦达定理先把b用x1、x2表示出来,分0<x1<2及-2<x1<0两种情况进行讨论,把b表示为关于x1的函数,借助函数的单调性可求出b的范围.
解答:(1)证明:由已知得:f'(x)=ax2+(b-1)x+1,x1,x2是方程f'(x)=0的两根.
由于
,
由于f'(-2)=4a-2b+3,
①×(-3)+②得:4a-2b>0,
∴f'(-2)=4a-2b+3>3.
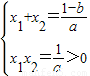
(2)解:由韦达定理得,
,
故
,
①当
这时,由|x2-x1|=2,得x2=x1+2,
即
为增函数(也可用求导法来证),
故
.
②当
也为增函数,
故这时,
,
综上,b的取值范围是
.
点评:本题考查函数在某点取得极值的条件及二次方程根的分布问题等知识,解决第(2)题的关键是通过讨论把b表示成关于x1的函数,利用函数性质处理.
(2)利用韦达定理先把b用x1、x2表示出来,分0<x1<2及-2<x1<0两种情况进行讨论,把b表示为关于x1的函数,借助函数的单调性可求出b的范围.
解答:(1)证明:由已知得:f'(x)=ax2+(b-1)x+1,x1,x2是方程f'(x)=0的两根.
由于
由于f'(-2)=4a-2b+3,
①×(-3)+②得:4a-2b>0,
∴f'(-2)=4a-2b+3>3.
(2)解:由韦达定理得,
故
①当
这时,由|x2-x1|=2,得x2=x1+2,
即
故
②当
故这时,
综上,b的取值范围是
点评:本题考查函数在某点取得极值的条件及二次方程根的分布问题等知识,解决第(2)题的关键是通过讨论把b表示成关于x1的函数,利用函数性质处理.
练习册系列答案
相关题目