题目内容
已知函数f(x)=lnx-(Ⅰ)讨论f(x)的单调性;
(Ⅱ)若g(x)在其定义域内为增函数,求正实数a的取值范围;
(Ⅲ)设函数h(x)=x2-mx+4,当a=2时,若?x1∈(0,1),?x2∈[1,2],总有g(x1)≥h(x2)成立,求实数m的取值范围.
【答案】分析:(Ⅰ)f(x)的定义域为(0,+∞),且
,当a≥0时,f′(x)>0,f(x)在(x,+∞)上单调递增;当a>0时,由f′(x)>0,得x>-a;由f′(x)<0,得x<-a.由此能够判断f(x)的单调性.
(Ⅱ)由g(x)=ax-
,定义域为(0,+∞),知
-
=
,因为g(x)在其定义域内为增函数,所以?x∈(0,+∞),g′(x)≥0,由此能够求出正实数a的取值范围.
(Ⅲ)当a=2时,g(x)=2x-
,
,由g′(x)=0,得x=
或x=2.当
时,g′(x)≥0当x
时,g′(x)<0.所以在(0,1)上,
,由此能求出实数m的取值范围.
解答:解:(Ⅰ)f(x)的定义域为(0,+∞),且
,
①当a≥0时,f′(x)>0,f(x)在(x,+∞)上单调递增;
②当a<0时,由f′(x)>0,得x>-a;由f′(x)<0,得x<-a;
故f(x)在(0,-a)上单调递减,在(-a,+∞)上单调递增.
(Ⅱ)g(x)=ax-
,g(x)的定义域为(0,+∞),
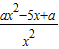
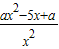
-
=
,
因为g(x)在其定义域内为增函数,所以?x∈(0,+∞),g′(x)≥0,
∴ax2-5x+a≥0,
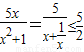
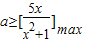
∴a(x2+1)≥5x,
即
,
∴
.
∵
,当且仅当x=1时取等号,
所以a
.
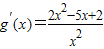
(Ⅲ)当a=2时,g(x)=2x-
,
,
由g′(x)=0,得x=
或x=2.
当
时,g′(x)≥0;当x
时,g′(x)<0.
所以在(0,1)上,
,
而“?x1∈(0,1),?x2∈[1,2],总有g(x1)≥h(x2)成立”等价于
“g(x)在(0,1)上的最大值不小于h(x)在[1,2]上的最大值”
而h(x)在[1,2]上的最大值为max{h(1),h(2)},
所以有
,
∴
,
∴
,
解得m≥8-5ln2,
所以实数m的取值范围是[8-5ln2,+∞).
点评:本题考查在闭区间上求函数最值的应用,考查运算求解能力,推理论证能力;考查函数与方程思想,化归与转化思想.综合性强,难度大,有一定的探索性,对数学思维能力要求较高,是高考的重点.解题时要认真审题,仔细解答.
(Ⅱ)由g(x)=ax-
(Ⅲ)当a=2时,g(x)=2x-
解答:解:(Ⅰ)f(x)的定义域为(0,+∞),且
①当a≥0时,f′(x)>0,f(x)在(x,+∞)上单调递增;
②当a<0时,由f′(x)>0,得x>-a;由f′(x)<0,得x<-a;
故f(x)在(0,-a)上单调递减,在(-a,+∞)上单调递增.
(Ⅱ)g(x)=ax-
因为g(x)在其定义域内为增函数,所以?x∈(0,+∞),g′(x)≥0,
∴ax2-5x+a≥0,
∴a(x2+1)≥5x,
即
∴
∵
所以a
(Ⅲ)当a=2时,g(x)=2x-
由g′(x)=0,得x=
当
所以在(0,1)上,
而“?x1∈(0,1),?x2∈[1,2],总有g(x1)≥h(x2)成立”等价于
“g(x)在(0,1)上的最大值不小于h(x)在[1,2]上的最大值”
而h(x)在[1,2]上的最大值为max{h(1),h(2)},
所以有
∴
∴
解得m≥8-5ln2,
所以实数m的取值范围是[8-5ln2,+∞).
点评:本题考查在闭区间上求函数最值的应用,考查运算求解能力,推理论证能力;考查函数与方程思想,化归与转化思想.综合性强,难度大,有一定的探索性,对数学思维能力要求较高,是高考的重点.解题时要认真审题,仔细解答.
练习册系列答案
相关题目