题目内容
已知函数f(x)=x2-2(n+1)x+n2+5n-7.(Ⅰ)设函数y=f(x)的图象的顶点的纵坐标构成数列{an},求证:{an}为等差数列;
(Ⅱ)设函数y=f(x)的图象的顶点到x轴的距离构成数列{bn},求{bn}的前n项和Sn.
【答案】分析:(Ⅰ)配方,确定函数y=f(x)的图象的顶点的纵坐标,从而可求数列{an}的通项,再证明为等差数列;
(Ⅱ)确定数列{bn}的通项,进而可分段求出{bn}的前n项和Sn.
解答:(Ⅰ)证明:∵f(x)=x2-2(n+1)x+n2+5n-7=[x-(n+1)]2+3n-8,
∴an=3n-8,---------(2分)
∴an+1-an=3(n+1)-8-(3n-8)=3,
∴数列{an}为等差数列.---------(4分)
(Ⅱ)解:由题意知,bn=|an|=|3n-8|,---------(6分)
∴当1≤n≤2时,bn=8-3n,
;----(8分)
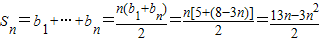
当n≥3时,bn=3n-8,Sn=b1+b2+b3+…+bn=5+2+1+…+(3n-8)=
.---------(10分)
∴
.---------(12分)
点评:本题考查数列与函数的关系,考查等差数列的证明,考查数列的求和,考查分类讨论的数学思想,正确求数列的通项是关键.
(Ⅱ)确定数列{bn}的通项,进而可分段求出{bn}的前n项和Sn.
解答:(Ⅰ)证明:∵f(x)=x2-2(n+1)x+n2+5n-7=[x-(n+1)]2+3n-8,
∴an=3n-8,---------(2分)
∴an+1-an=3(n+1)-8-(3n-8)=3,
∴数列{an}为等差数列.---------(4分)
(Ⅱ)解:由题意知,bn=|an|=|3n-8|,---------(6分)
∴当1≤n≤2时,bn=8-3n,
当n≥3时,bn=3n-8,Sn=b1+b2+b3+…+bn=5+2+1+…+(3n-8)=
∴
点评:本题考查数列与函数的关系,考查等差数列的证明,考查数列的求和,考查分类讨论的数学思想,正确求数列的通项是关键.
练习册系列答案
相关题目
| π |
| 2 |
A、f(x)=2sin(πx+
| ||
B、f(x)=2sin(2πx+
| ||
C、f(x)=2sin(πx+
| ||
D、f(x)=2sin(2πx+
|