题目内容
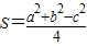
已知三角形ABC的面积A.45°
B.30°
C.90°
D.135°
【答案】分析:根据正弦定理的面积公式和余弦定理,化简题中等式可得
,得sinC=cosC,结合三角形内角的范围,即可求出∠C的大小.
解答:解:根据正弦定理的面积公式,得
△ABC的面积S=
absinC
∵
,
∴
又∵a2+b2-c2=2abcosC
∴
,得sinC=cosC
∵C∈(0,π),∴C=
,即C=45°
故选:A
点评:本题给出三角形面积关于边的式子,求角C的大小.着重考查了三角形的面积公式、正余弦定理和特殊角的三角函数值等知识,属于基础题.
解答:解:根据正弦定理的面积公式,得
△ABC的面积S=
∵
∴
又∵a2+b2-c2=2abcosC
∴
∵C∈(0,π),∴C=
故选:A
点评:本题给出三角形面积关于边的式子,求角C的大小.着重考查了三角形的面积公式、正余弦定理和特殊角的三角函数值等知识,属于基础题.
练习册系列答案
相关题目