题目内容
数列{an}的前N项和为Sn,a1=1,an+1=2Sn(n∈N*).(Ⅰ)求数列{an}的通项an;
(Ⅱ)求数列{nan}的前n项和T.
【答案】分析:(I)利用递推公式an+1=2Sn把已知转化为an+1与an之间的关系,从而确定数列an的通项;
(II)由(I)可知数列an从第二项开始的等比数列,设bn=n则数列bn为等差数列,所以对数列n•an的求和应用乘“公比”错位相减.
解答:解:(I)∵an+1=2Sn,
∴Sn+1-Sn=2Sn,
∴
=3.
又∵S1=a1=1,
∴数列{Sn}是首项为1、公比为3的等比数列,Sn=3n-1(n∈N*).
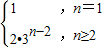
∴当n≥2时,an-2Sn-1=2•3n-2(n≥2),
∴an=
(II)Tn=a1+2a2+3a3+…+nan,
当n=1时,T1=1;
当n≥2时,Tn=1+4•30+6•31+…+2n•3n-2,①3Tn=3+4•31+6•32+…+2n•3n-1,②
①-②得:-2Tn=-2+4+2(31+32+…+3n-2)-2n•3n-1=2+2•
=-1+(1-2n)•3n-1
∴Tn=
+(n-
)3n-1(n≥2).
又∵Tn=a1=1也满足上式,∴Tn=
+(n-
)3n-1(n∈N*)
点评:本小题考查数列的基本知识,考查等比数列的概念、通项公式及数列的求和,考查分类讨论及化归的数学思想方法,以及推理和运算能力.
(II)由(I)可知数列an从第二项开始的等比数列,设bn=n则数列bn为等差数列,所以对数列n•an的求和应用乘“公比”错位相减.
解答:解:(I)∵an+1=2Sn,
∴Sn+1-Sn=2Sn,
∴
又∵S1=a1=1,
∴数列{Sn}是首项为1、公比为3的等比数列,Sn=3n-1(n∈N*).
∴当n≥2时,an-2Sn-1=2•3n-2(n≥2),
∴an=
(II)Tn=a1+2a2+3a3+…+nan,
当n=1时,T1=1;
当n≥2时,Tn=1+4•30+6•31+…+2n•3n-2,①3Tn=3+4•31+6•32+…+2n•3n-1,②
①-②得:-2Tn=-2+4+2(31+32+…+3n-2)-2n•3n-1=2+2•
∴Tn=
又∵Tn=a1=1也满足上式,∴Tn=
点评:本小题考查数列的基本知识,考查等比数列的概念、通项公式及数列的求和,考查分类讨论及化归的数学思想方法,以及推理和运算能力.
练习册系列答案
相关题目