题目内容
已知椭圆A.
B.
C.
D.
【答案】分析:利用已知可求出点A,B,F的坐标,利用两角差的正切公式和斜率计算公式即可得出.
解答:解:把x=c代入椭圆的方程可得
,解得
.
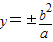
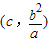
取A
,则B
,
∵∠OBF=∠AOF-∠OFB,
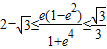
,
=
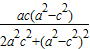
∴tanα=tan∠OBF=
=
=
=
=
,
∵
,∴
,
∴
.
解得
.
故选A.
点评:数列掌握椭圆的性质及其斜率计算公式、两角差的正切公式等是解题的关键.
解答:解:把x=c代入椭圆的方程可得
取A
∵∠OBF=∠AOF-∠OFB,
∴tanα=tan∠OBF=
∵
∴
解得
故选A.
点评:数列掌握椭圆的性质及其斜率计算公式、两角差的正切公式等是解题的关键.
练习册系列答案
相关题目