题目内容
f(x)是定义在(-∞,3]上的减函数,不等式f(a2-sinx)≤f(a+1+cos2x)对一切x∈R均成立,求实数a的取值范围.
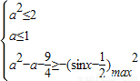
【答案】分析:根据函数的单调性,将原不等式成立,转化为“
成立”,
然后转化为“
”利用最值法求解.
解答:解:由题意可得
恒成立
即
对x∈R恒成立.
故
∴-
≤a≤
.
点评:本题主要考查不等式恒成立问题,一般是利用函数的单调性,转化为最值问题解决.
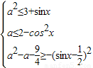
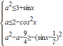
然后转化为“
解答:解:由题意可得
即
故
∴-
点评:本题主要考查不等式恒成立问题,一般是利用函数的单调性,转化为最值问题解决.
练习册系列答案
相关题目