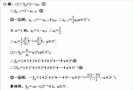
题目内容
已知数列{an}满足:Sn=1-an(n∈N*),其中Sn为数列{an}的前n项和.
(1)求{an}的通项公式;
(2)若数列{bn}满足:bn=(n∈N*),求{bn}的前n项和公式Tn.