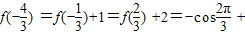
题目内容
已知
【答案】分析:此题考查的是分段函数求值问题.在解答时可以向根据自变量的范围,利用对应的表达式求出相应的函数值,然后求和即可.
解答:解:∵
,∴
;
∵
,∴
.
∴
.
故答案为:3.
点评:本题考查的是分段函数求值问题.在解答过程当中,要充分体会分类讨论思想、函数求值思想、问题转化思想以及计算能力在里边的体现.值得同学们总结反思.
解答:解:∵
∵
∴
故答案为:3.
点评:本题考查的是分段函数求值问题.在解答过程当中,要充分体会分类讨论思想、函数求值思想、问题转化思想以及计算能力在里边的体现.值得同学们总结反思.
练习册系列答案
相关题目