题目内容
已知函数f(x)=e-x(cosx+sinx),将满足f′(x)=0的所有正数x从小到大排成数列{xn}。
(1)证明数列{f{xn}}为等比数列;
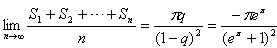
(2)记Sn是数列{xnf{xn}}的前n项和,求
。
(1)证明数列{f{xn}}为等比数列;
(2)记Sn是数列{xnf{xn}}的前n项和,求
解:(1)
由
得
解出
为整数
从而


所以数列
是公比
的等比数列,且首项
。
(2)









因为
,
所以
。
由
解出
从而
所以数列
(2)
因为
所以
练习册系列答案
相关题目