题目内容
设Sn为数列{an}的前n项和,对任意的n∈N*,都有Sn=(m+1)-man(m为常数,且m>0)。
(1)求证:数列{an}是等比数列;
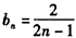
(2)设数列{an}的公比q=f(m),数列{bn}满足b1=2a1,bn=f(bn-1)(n≥2,n∈N*),求数列{bn}的通项公式;
(3)在满足(2)的条件下,求证:数列{bn2}的前n项和Tn<
。
(1)求证:数列{an}是等比数列;
(2)设数列{an}的公比q=f(m),数列{bn}满足b1=2a1,bn=f(bn-1)(n≥2,n∈N*),求数列{bn}的通项公式;
(3)在满足(2)的条件下,求证:数列{bn2}的前n项和Tn<
解:(1)当n=1时

解得a1=1
当n≥2时

即
∵m为常数,且m>0
∴
∴数列{an}是首项为1,公比为
的等比数列。
(2)由(1)得,
∵
∴
即
∴
是首项为
,公差为1的等差数列
∴
即
。
(3)由(2)知
则
所以
当n≥2时

所以

。
解得a1=1
当n≥2时
即
∵m为常数,且m>0
∴
∴数列{an}是首项为1,公比为
(2)由(1)得,
∵
∴
即
∴
∴
即
(3)由(2)知
则
所以
当n≥2时
所以
练习册系列答案
相关题目