题目内容

已知函数.

(Ⅰ)求函数的单调区间;

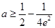
(Ⅱ)若函数在区间上是减函数,求实数的最小值;

(Ⅲ)若存在是自然对数的底数)使,求实数的取值范围.

 

【答案】

(Ⅰ)函数的减区间是,增区间是

(Ⅱ)的最小值为;(Ⅲ).

【解析】

试题分析:(Ⅰ)求出的导数,由的符号确定的单调区间;

(Ⅱ)求出的导数,由上恒成立求得实数的最小值;(Ⅲ)注意左右两边的自变量是独立的.若存在使成立,则.故首先求出然后解不等式求实数的取值范围.

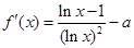
试题解析:解:(Ⅰ)由得, ,则函数的定义域为,

,令,即,解得

时, ;当,

函数的减区间是,增区间是                            4分

(Ⅱ)由题意得:函数上是减函数,

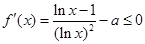
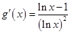
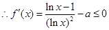
上恒成立,即上恒成立

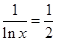
,因此即可

当且仅当,即时取等号

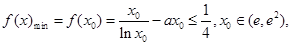
因此,故的最小值为.                              8分

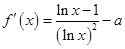
(Ⅲ)命题“若存在,使,”等价于

“当时,有”,

由(Ⅱ)得,当时,,则

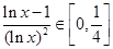
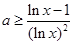
故问题等价于:“当时,有”,

,由(Ⅱ)知,

(1)当时,上恒成立,因此 上为减函数,则,故,

(2)当时,上恒成立,因此上为增函数,

,不合题意

(3)当时,由于上为增函数,

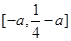
的值域为,即

的单调性和值域知,存在唯一,使,且满足:当时,为减函数;当时,为增函数;

所以,

所以,矛盾,不合题意

综上,得.                                              12分

考点:1、导数及其应用;2、不等关系

 

练习册系列答案
相关题目

违法和不良信息举报电话:027-86699610 举报邮箱:58377363@163.com

精英家教网