题目内容
已知函数(1)当a=0时,求函数f(x)的单调递增区间;
(2)若?x∈[1,3],使f(x)<(x+1)Inx成立,求实数a的取值范围;
(3)若函数f(x)的图象在区间(1,+∞)内恒在直线y=2ax下方,求实数a的取值范围.
【答案】分析:(1)当a=0时,求函数f(x)的定义域,求出函数的导数,利用导数大于0,即可得到单调递增区间;
(2)若?x∈[1,3],使f(x)<(x+1)Inx成立,就出a的不等式,构造函数求出导数,得到函数的最小值,即可求实数a的取值范围;
(3)若函数f(x)的图象在区间(1,+∞)内恒在直线y=2ax下方,构造函数
,通过导数对a进行讨论,当a∈[
,
]时,函数f(x)的图象恒在直线y=2ax下方.
解答:解:显然函数f(x)的定义域为(0,+∞),
(1)当a=0时,
,
;
由f'(x)>0,结合定义域解得0<x<1,
∴f(x)的单调递增区间为(0,1).
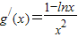
(2)将f(x)<(x+1)lnx化简得
,∵x∈[1,3]∴有
令
,则
,由g′(x)=0解得x=e.
当1≤x<e时,g′(x)>0;当e<x≤3时,g′(x)<0
故
∴?x∈[1,3],使f(x)<(x+1)lnx成立等价于a<
即a的取值范围为
(3)令
,则g(x)的定义域为(0,+∞).
在区间(1,+∞)上,函数f(x)的图象恒在直线y=2ax下方等价于g(x)<0在区间(1,+∞)上恒成立.
∵
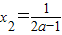
①若
,令g'(x)=0,得极值点x1=1,
,
当x2>x1=1,即
时,在(x2,+∞)上有g'(x)>0,
此时g(x)在区间(x2,+∞)上是增函数,并且在该区间上有g(x)∈(g(x2),+∞),不合题意;
当x2<x1=1,即a≥1时,同理可知,g(x)在区间(1,+∞)上,有g(x)∈(g(1),+∞),也不合题意;
②若
,则有2a-1≤0,此时在区间(1,+∞)上恒有g'(x)<0,
从而g(x)在区间(1,+∞)上是减函数;
要使g(x)<0在此区间上恒成立,只须满足
,
由此求得a的范围是[
,
].
综合①②可知,当a∈[
,
]时,函数f(x)的图象恒在直线y=2ax下方.
点评:本题考查函数的导数的应用,构造法的应用,考查转化思想,函数与方程的思想,高考的压轴题.
(2)若?x∈[1,3],使f(x)<(x+1)Inx成立,就出a的不等式,构造函数求出导数,得到函数的最小值,即可求实数a的取值范围;
(3)若函数f(x)的图象在区间(1,+∞)内恒在直线y=2ax下方,构造函数
解答:解:显然函数f(x)的定义域为(0,+∞),
(1)当a=0时,
由f'(x)>0,结合定义域解得0<x<1,
∴f(x)的单调递增区间为(0,1).
(2)将f(x)<(x+1)lnx化简得
令
当1≤x<e时,g′(x)>0;当e<x≤3时,g′(x)<0
故
∴?x∈[1,3],使f(x)<(x+1)lnx成立等价于a<
即a的取值范围为
(3)令
在区间(1,+∞)上,函数f(x)的图象恒在直线y=2ax下方等价于g(x)<0在区间(1,+∞)上恒成立.
∵
①若
当x2>x1=1,即
此时g(x)在区间(x2,+∞)上是增函数,并且在该区间上有g(x)∈(g(x2),+∞),不合题意;
当x2<x1=1,即a≥1时,同理可知,g(x)在区间(1,+∞)上,有g(x)∈(g(1),+∞),也不合题意;
②若
从而g(x)在区间(1,+∞)上是减函数;
要使g(x)<0在此区间上恒成立,只须满足
由此求得a的范围是[
综合①②可知,当a∈[
点评:本题考查函数的导数的应用,构造法的应用,考查转化思想,函数与方程的思想,高考的压轴题.
练习册系列答案
相关题目