题目内容

已知椭圆(a>b>0)的离心率为e1,准线为l1、l2;双曲线离心率为e2,准线为l3、l4;若l1、l2、l3、l4正好围成一个正方形,则等于( )
A.
B.
C.
D.
【答案】分析:由椭圆和双曲线的方程可得其准线的方程,再利用准线l1、l2、l3、l4正好围成一个正方形,即可得出a,b满足的条件,再利用离心率计算公式即可得出.
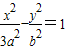
解答:解:由题意可得椭圆(a>b>0)的准线方程为
双曲线准线方程为
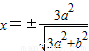
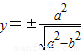
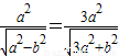
∵四条准线l1、l2、l3、l4正好围成一个正方形,∴
解得
=
=
故选A.
点评:熟练掌握椭圆与双曲线的标准方程及其性质是解题的关键.
练习册系列答案
相关题目

违法和不良信息举报电话:027-86699610 举报邮箱:58377363@163.com

精英家教网