题目内容
设Sn为等差数列{an}的前n项和,已知
与
的等比中项为
,已知
与
的等差中项为1.
(1)求等差数列{an}的通项;
(2)求数列{|an|}的前n项和Tn.
(1)求等差数列{an}的通项;
(2)求数列{|an|}的前n项和Tn.
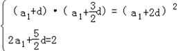
解:(1)由已知得:
,
设等差数列{an}的首项为a1,公差为d,
则
,
代入上述不等式组得:

解得:
或
故
或an=1
(2)若an=1,则Tn=n,
若
,
令an≥0,得:n≤2;
故当n≤2时,
,
当n>2时,
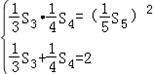
设等差数列{an}的首项为a1,公差为d,
则
代入上述不等式组得:
解得:
故
(2)若an=1,则Tn=n,
若
令an≥0,得:n≤2;
故当n≤2时,
当n>2时,
练习册系列答案
相关题目
设Sn为等差数列{an}的前n项和,若S8=30,S4=7,则a4的值等于( )
A、
| ||
B、
| ||
C、
| ||
D、
|