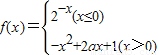
题目内容
已知函数A.?a∈R,f(x)有最大值f(a)
B.?a∈R,f(x)有最小值f(0)
C.?a∈R,f(x)有唯一零点
D.?a∈R,f(x)有极大值和极小值
【答案】分析:根据指数函数及二次函数的性质,我们分析函数的性质,画出函数图象的草图,进而逐一对四个答案中的结论,进行判定,即可得到答案.
解答:解:根据指数函数及二次函数的性质,我们可得:
函数
(a∈R),即为最大值,也无最小值,故A,B均错误;
函数的图象也X轴有且只有一个交点,故C?a∈R,f(x)有唯一零点,正确;
当a>0时,f(x)有极大值f(a)和极小值f(0),当a≤0时,f(x)没有极大值和极小值,故D错误;
故选C
点评:本题考查的知识点是函数零点的判定定理,其中熟练掌握指数函数、对数函数的图象与性质是解答本题的关键.
解答:解:根据指数函数及二次函数的性质,我们可得:
函数
函数的图象也X轴有且只有一个交点,故C?a∈R,f(x)有唯一零点,正确;
当a>0时,f(x)有极大值f(a)和极小值f(0),当a≤0时,f(x)没有极大值和极小值,故D错误;
故选C
点评:本题考查的知识点是函数零点的判定定理,其中熟练掌握指数函数、对数函数的图象与性质是解答本题的关键.
练习册系列答案
相关题目