题目内容
已知复数z满足:|z|=1+3i-z,求
【答案】分析:设z=a+bi(a,b∈R),代入|z|=1+3i-z,根据复数相等的充要条件可得a,b方程组,解出a,b可得z,代入
,利用复数代数形式的除法运算可得结果.
解答:解:设z=a+bi(a,b∈R),
而|z|=1+3i-z,即
,
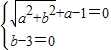
则
,解得
,
z=-4+3i,
∴
=
=1.
点评:本题考查复数代数形式的乘除运算,考查学生的运算能力,属基础题.
解答:解:设z=a+bi(a,b∈R),
而|z|=1+3i-z,即
则
z=-4+3i,
∴
点评:本题考查复数代数形式的乘除运算,考查学生的运算能力,属基础题.
练习册系列答案
相关题目