题目内容
已知各项均为正数的数列{an}的前n项和为Sn,且Sn,an,1成等差数列,
(1)求数列{an}的通项公式;
(2)若
,设
,求数列{cn}的前项和Tn。
(1)求数列{an}的通项公式;
(2)若
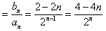
解:(1)由题意知,
,
当n=1时,
,∴
,
当n≥2时,
,
两式相减得,
(n≥2),
整理得:
(n≥2),
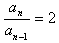
∴数列{an}是1为首项,2为公比的等比数列,
;
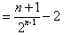
(2)
,
∴
,
cn
,
,①
, ②
①-②得,


,
∴
。
当n=1时,
当n≥2时,
两式相减得,
整理得:
∴数列{an}是1为首项,2为公比的等比数列,
(2)
∴
cn
①-②得,
∴
练习册系列答案
相关题目